選單
×
   ❮   
HTML CSS JAVASCRIPT SQL PYTHON JAVA PHP HOW TO W3.CSS C C++ C# BOOTSTRAP REACT MYSQL JQUERY EXCEL XML DJANGO NUMPY PANDAS NODEJS R TYPESCRIPT ANGULAR GIT POSTGRESQL MONGODB ASP AI GO KOTLIN SASS VUE DSA GEN AI SCIPY AWS CYBERSECURITY DATA SCIENCE
     ❯   

DSA 二叉樹


二叉樹

二叉樹是一種樹形資料結構,其中每個節點最多可以有兩個子節點:左子節點和右子節點。

這種每個節點最多有兩個子節點的限制,為我們帶來了許多好處。

  • 遍歷、搜尋、插入和刪除等演算法更容易理解、實現和執行更快。
  • 在二叉搜尋樹 (BST) 中保持資料排序,可以使搜尋非常高效。
  • 使用有限數量的子節點更容易平衡樹,例如使用 AVL 二叉樹。
  • 二叉樹可以表示為陣列,從而使樹更節省記憶體。

請使用下面的動畫來了解二叉樹的樣子,以及我們用來描述它的術語。

R A B C D E F G

在二叉樹中,父節點內部節點是具有一個或兩個子節點的節點。

左子節點是左側的子節點。

右子節點是右側的子節點。

樹的高度是從根節點到葉子節點的最大邊數。


二叉樹與陣列和連結串列比較

二叉樹相對於陣列和連結串列的優勢

  • 陣列在直接訪問元素時速度很快,例如訪問包含 1000 個元素的陣列中的第 700 個元素。但是,插入和刪除元素需要移動其他元素以騰出新元素的位置,或者佔用已刪除元素的位置,這非常耗時。
  • 連結串列在插入或刪除節點時速度很快,無需移動記憶體,但要訪問列表中的元素,必須遍歷整個列表,這需要時間。
  • 與陣列和連結串列相比,二叉樹(如二叉搜尋樹和 AVL 樹)非常優秀,因為它們既能快速訪問節點,又能快速進行刪除或插入節點,且無需移動記憶體。

我們將在接下來的兩頁中詳細介紹二叉搜尋樹 (BST) 和 AVL 樹的工作原理,但首先我們將瞭解二叉樹的實現方式以及如何進行遍歷。


二叉樹的型別

有幾種不同的二叉樹變體或型別值得討論,以便更好地理解二叉樹的結構。

現在提及不同型別的二叉樹也很重要,因為這些術語和概念將在本教程的後續內容中使用。

下面是對不同型別二叉樹結構的簡要解釋,解釋下方附有這些結構的圖示,以便儘可能清晰易懂。

一個平衡的二叉樹,對於樹中的每個節點,其左右子樹的高度差最多為 1。

一個滿的二叉樹,除了最後一層外,所有層都已填滿節點,最後一層也可以是滿的,或者從左到右填滿。滿二叉樹的特性意味著它也是平衡的。

一個滿的二叉樹,是指每個節點要麼有 0 個子節點,要麼有 2 個子節點的樹。

一個完美的二叉樹,所有葉子節點都在同一層,這意味著所有層都已填滿節點,所有內部節點都有兩個子節點。完美二叉樹的特性意味著它也是滿的、平衡的和完整的。

11 7 15 3 9 13 19 18
平衡
11 7 15 3 9 13 19 2 4 8
滿且平衡
11 7 15 13 19 12 14
滿
11 7 15 3 13 19 9
完美、滿、平衡且滿

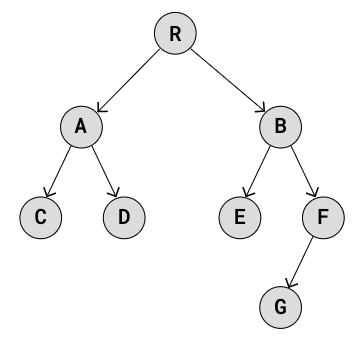
二叉樹實現

讓我們來實現這個二叉樹。

R A B C D E F G

上述二叉樹的實現方式與實現單向連結串列類似,只不過不是將每個節點連結到一個下一個節點,而是建立一種結構,使每個節點都可以連結到其左子節點和右子節點。

這就是二叉樹的實現方式

示例

Python

class TreeNode:
    def __init__(self, data):
        self.data = data
        self.left = None
        self.right = None

root = TreeNode('R')
nodeA = TreeNode('A')
nodeB = TreeNode('B')
nodeC = TreeNode('C')
nodeD = TreeNode('D')
nodeE = TreeNode('E')
nodeF = TreeNode('F')
nodeG = TreeNode('G')

root.left = nodeA
root.right = nodeB

nodeA.left = nodeC
nodeA.right = nodeD

nodeB.left = nodeE
nodeB.right = nodeF

nodeF.left = nodeG

# Test
print("root.right.left.data:", root.right.left.data)
執行示例 »

二叉樹遍歷

一次訪問一個節點地遍歷一棵樹,稱為遍歷。

由於陣列和連結串列是線性資料結構,它們只有一種明顯的遍歷方式:從第一個元素或節點開始,繼續訪問下一個,直到訪問完所有節點。

由於樹可以向不同方向分支(非線性),因此有不同的遍歷樹的方式。

樹的遍歷方法主要分為兩大類:

廣度優先搜尋 (BFS) 是指在訪問完同一層的節點後再訪問下一層的節點。這意味著樹的探索方向更偏向橫向。

深度優先搜尋 (DFS) 是指遍歷一直向下到葉子節點,然後逐個分支地向下探索樹。

DFS 遍歷有三種不同的型別:

這三種深度優先搜尋遍歷將在下一頁詳細介紹。


DSA 練習

透過練習來測試自己

練習

在二叉樹資料結構中,如下所示:

A tree data structure

節點 B 與節點 E 和 F 之間是什麼關係?

Node E is B's  child node, 
and node F is B's  child node.

開始練習



×

聯絡銷售

如果您想將 W3Schools 服務用於教育機構、團隊或企業,請傳送電子郵件給我們
sales@w3schools.com

報告錯誤

如果您想報告錯誤,或想提出建議,請傳送電子郵件給我們
help@w3schools.com

W3Schools 經過最佳化,旨在方便學習和培訓。示例可能經過簡化,以提高閱讀和學習體驗。教程、參考資料和示例會不斷審查,以避免錯誤,但我們無法保證所有內容的完全正確性。使用 W3Schools 即表示您已閱讀並接受我們的使用條款Cookie 和隱私政策

版權所有 1999-2024 Refsnes Data。保留所有權利。W3Schools 由 W3.CSS 提供支援