DSA 合併排序
合併排序
合併排序演算法是一種分治演算法,它透過先將陣列分解成更小的陣列,然後以正確的方式將陣列重新組合起來,使其有序。
速度
{{ msgDone }}分解:演算法從將陣列分解成越來越小的部分開始,直到一個子陣列只包含一個元素。
合併:演算法透過將最低值放在前面,將陣列的小部分重新合併在一起,從而得到一個排序後的陣列。
分解和構建陣列以對其進行排序是透過遞迴完成的。
在上面的動畫中,每次條形圖被推下去都代表一次遞迴呼叫,將陣列分成更小的部分。當條形圖被抬起時,表示兩個子陣列已被合併在一起。
合併排序演算法可以這樣描述:
工作原理
- 將未排序的陣列分成兩個大小為原始陣列一半的子陣列。
- 只要當前陣列部分包含的元素多於一個,就繼續分解子陣列。
- 透過始終將最低值放在前面,合併兩個子陣列。
- 持續合併,直到沒有子陣列為止。
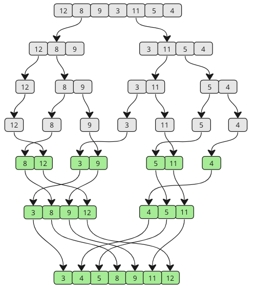
從不同的角度看看下面的圖,瞭解合併排序的工作原理。正如你所見,陣列被分解成越來越小的部分,直到重新合併。在合併過程中,會比較每個子陣列中的值,以便最低的值排在前面。

手動演練
在實際用程式語言實現之前,讓我們手動嘗試排序,以便更好地理解合併排序的工作原理。
步驟 1:我們從一個未排序的陣列開始,並且我們知道它會被分成兩半,直到子陣列只包含一個元素。Merge Sort 函式呼叫自身兩次,一次用於陣列的每個一半。這意味著第一個子陣列將首先分解成最小的部分。
[ 12, 8, 9, 3, 11, 5, 4]
[ 12, 8, 9] [ 3, 11, 5, 4]
[ 12] [ 8, 9] [ 3, 11, 5, 4]
[ 12] [ 8] [ 9] [ 3, 11, 5, 4]
步驟 2:第一個子陣列的分解完成,現在是合併的時候了。8 和 9 是要合併的前兩個元素。8 是最小值,所以它排在第一個合併的子陣列的 9 前面。
[ 12] [ 8, 9] [ 3, 11, 5, 4]
步驟 3:要合併的下一個子陣列是 [ 12] 和 [ 8, 9]。兩個陣列中的值都從開始進行比較。8 小於 12,所以 8 排在前面,9 也小於 12。
[ 8, 9, 12] [ 3, 11, 5, 4]
步驟 4:現在第二個大的子陣列被遞迴分解。
[ 8, 9, 12] [ 3, 11, 5, 4]
[ 8, 9, 12] [ 3, 11] [ 5, 4]
[ 8, 9, 12] [ 3] [ 11] [ 5, 4]
步驟 5:3 和 11 以它們顯示的相同順序合併在一起,因為 3 小於 11。
[ 8, 9, 12] [ 3, 11] [ 5, 4]
步驟 6:包含 5 和 4 的子陣列被分解,然後合併,使 4 排在 5 前面。
[ 8, 9, 12] [ 3, 11] [ 5] [ 4]
[ 8, 9, 12] [ 3, 11] [ 4, 5]
步驟 7:右邊的兩個子陣列被合併。進行比較以建立新合併陣列中的元素。
- 3 小於 4
- 4 小於 11
- 5 小於 11
- 11 是最後剩餘的值
[ 8, 9, 12] [ 3, 4, 5, 11]
步驟 8:最後剩餘的兩個子陣列被合併。讓我們更詳細地看看比較是如何進行的,以便建立新的合併的、最終排序的陣列。
3 小於 8
之前 [ 8, 9, 12] [ 3, 4, 5, 11]
之後:[ 3, 8, 9, 12] [ 4, 5, 11]
步驟 9:4 小於 8
之前 [ 3, 8, 9, 12] [ 4, 5, 11]
之後:[ 3, 4, 8, 9, 12] [ 5, 11]
步驟 10:5 小於 8
之前 [ 3, 4, 8, 9, 12] [ 5, 11]
之後:[ 3, 4, 5, 8, 9, 12] [ 11]
步驟 11:8 和 9 小於 11
之前 [ 3, 4, 5, 8, 9, 12] [ 11]
之後:[ 3, 4, 5, 8, 9, 12] [ 11]
步驟 12:11 小於 12
之前 [ 3, 4, 5, 8, 9, 12] [ 11]
之後:[ 3, 4, 5, 8, 9, 11, 12]
排序完成!
執行下面的模擬,以動畫形式檢視以上步驟。
{{ x.dieNmbr }}
手動執行:發生了什麼?
我們看到該演算法有兩個階段:首先是分解,然後是合併。
雖然可以在不使用遞迴的情況下實現合併排序演算法,但我們將使用遞迴,因為這是最常見的方法。
在上面的步驟中我們看不到,但為了將陣列分成兩半,陣列的長度除以二,然後向下取整得到一個稱為“mid”的值。這個“mid”值用作分割陣列的索引。
在陣列被分割後,排序函式會用每個子陣列呼叫自身,以便陣列可以遞迴地再次分割。分割會一直持續到子陣列只包含一個元素。
在 Merge Sort 函式的末尾,子陣列被合併,因此在陣列重新構建時,子陣列始終是有序的。為了合併兩個子陣列並使其結果有序,會將每個子陣列的值進行比較,並將最低值放入合併的陣列中。之後,將比較兩個子陣列中的下一個值,將較低的值放入合併的陣列中。
合併排序實現
要實現合併排序演算法,我們需要:
- 一個包含需要排序的值的陣列。
- 一個函式,它接受一個數組,將其分成兩半,並用該陣列的每個一半呼叫自身,以便陣列一遍又一遍地遞迴分割,直到子陣列只包含一個值。
- 另一個函式,它以排序的方式將子數組合並回在一起。
生成的程式碼如下:
示例
def mergeSort(arr):
if len(arr) <= 1:
return arr
mid = len(arr) // 2
leftHalf = arr[:mid]
rightHalf = arr[mid:]
sortedLeft = mergeSort(leftHalf)
sortedRight = mergeSort(rightHalf)
return merge(sortedLeft, sortedRight)
def merge(left, right):
result = []
i = j = 0
while i < len(left) and j < len(right):
if left[i] < right[j]:
result.append(left[i])
i += 1
else:
result.append(right[j])
j += 1
result.extend(left[i:])
result.extend(right[j:])
return result
unsortedArr = [3, 7, 6, -10, 15, 23.5, 55, -13]
sortedArr = mergeSort(unsortedArr)
print("Sorted array:", sortedArr)
執行示例 »
在第 6 行,arr[:mid] 獲取陣列中直到索引“mid”之前的所有值(不包括該值)。
在第 7 行,arr[mid:] 獲取陣列中從索引“mid”開始的所有值以及之後的所有值。
在第 26-27 行,完成合並的第一部分。此時比較兩個子陣列的值,並且左子陣列或右子陣列為空,因此結果陣列可以只用左子陣列或右子陣列的剩餘值填充。這些行可以互換,結果將相同。
不使用遞迴的合併排序
由於合併排序是一種分治演算法,因此遞迴是實現中最直觀的程式碼。合併排序的遞迴實現也可能更容易理解,並且通常程式碼行數更少。
但是,合併排序也可以在不使用遞迴的情況下實現,這樣函式就不會呼叫自身。
看看下面不使用遞迴的合併排序實現。
示例
def merge(left, right):
result = []
i = j = 0
while i < len(left) and j < len(right):
if left[i] < right[j]:
result.append(left[i])
i += 1
else:
result.append(right[j])
j += 1
result.extend(left[i:])
result.extend(right[j:])
return result
def mergeSort(arr):
step = 1 # Starting with sub-arrays of length 1
length = len(arr)
while step < length:
for i in range(0, length, 2 * step):
left = arr[i:i + step]
right = arr[i + step:i + 2 * step]
merged = merge(left, right)
# Place the merged array back into the original array
for j, val in enumerate(merged):
arr[i + j] = val
step *= 2 # Double the sub-array length for the next iteration
return arr
unsortedArr = [3, 7, 6, -10, 15, 23.5, 55, -13]
sortedArr = mergeSort(unsortedArr)
print("Sorted array:", sortedArr)
執行示例 »
您可能會注意到,上面兩個合併排序實現中的合併函式是完全相同的,但在上面的實現中,mergeSort 函式內的 while 迴圈用於替換遞迴。while 迴圈以原地方式完成陣列的分割和合並,這使得程式碼有點難以理解。
簡單來說,mergeSort 函式內的 while 迴圈使用較短的步長,使用 merge 函式對初始陣列的微小部分(子陣列)進行排序。然後增加步長以合併和排序陣列的更大部分,直到整個陣列被排序。
合併排序時間複雜度
有關時間複雜度的一般性解釋,請訪問此頁面。
有關合並排序時間複雜度的更全面和詳細的解釋,請訪問此頁面。
合併排序的時間複雜度為:
\[ O( n \cdot \log n ) \]
對於不同種類的陣列,時間複雜度幾乎相同。無論陣列是已排序還是完全打亂,演算法都需要分割陣列並將其合併回在一起。
下圖顯示了合併排序的時間複雜度。

執行下面的模擬,對陣列中的不同數量的值進行操作,並檢視合併排序對 n 個元素的陣列所需的次數是 O(n log n)。
{{ this.userX }}
操作次數:{{ operations }}
如果我們固定值的數量 n,則“隨機”、“降序”和“升序”所需的操作次數幾乎相同。
合併排序每次的表現幾乎相同,因為陣列是根據比較進行分割和合並的,無論陣列是否已排序。