資料科學 - 繪製線性函式
運動手錶資料集
檢視我們的健康資料集
持續時間 | Average_Pulse | Max_Pulse | Calorie_Burnage | Hours_Work | Hours_Sleep |
---|---|---|---|---|---|
30 | 80 | 120 | 240 | 10 | 7 |
30 | 85 | 120 | 250 | 10 | 7 |
45 | 90 | 130 | 260 | 8 | 7 |
45 | 95 | 130 | 270 | 8 | 7 |
45 | 100 | 140 | 280 | 0 | 7 |
60 | 105 | 140 | 290 | 7 | 8 |
60 | 110 | 145 | 300 | 7 | 8 |
60 | 115 | 145 | 310 | 8 | 8 |
75 | 120 | 150 | 320 | 0 | 8 |
75 | 125 | 150 | 330 | 8 | 8 |
在 Python 中繪製現有資料
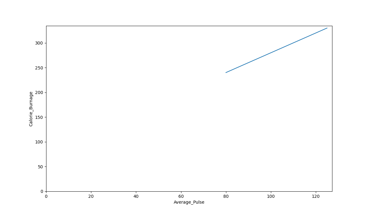
現在,我們可以使用 matplotlib 庫首先繪製 Average_Pulse 與 Calorie_Burnage 的值。
plot() 函式用於繪製二維散點圖 x,y
示例
import matplotlib.pyplot as plt
health_data.plot(x ='Average_Pulse', y='Calorie_Burnage', kind='line'),
plt.ylim(ymin=0)
plt.xlim(xmin=0)
plt.show()
自己動手試一試 »
示例解釋
- 匯入 matplotlib 庫的 pyplot 模組
- 繪製 Average_Pulse 與 Calorie_Burnage 的資料
- kind='line' 告訴我們想要哪種型別的圖。這裡,我們想要一條直線
- plt.ylim() 和 plt.xlim() 告訴我們想要座標軸從哪個值開始。這裡,我們想要座標軸從零開始
- plt.show() 顯示輸出
上面的程式碼將產生以下結果

圖形輸出
正如我們所見,Average_Pulse 和 Calorie_Burnage 之間存在關係。Calorie_Burnage 隨著 Average_Pulse 的增加而呈比例增加。這意味著我們可以使用 Average_Pulse 來預測 Calorie_Burnage。
為什麼線沒有完全畫到 y 軸?
原因是,我們沒有 Average_Pulse 或 Calorie_Burnage 為零的觀測值。80 是 Average_Pulse 的第一個觀測值,240 是 Calorie_Burnage 的第一個觀測值。

看這條線。如果平均脈搏從 80 增加到 90,卡路里消耗會怎樣?

我們可以使用對角線來找到數學函式來預測卡路里消耗。
結果表明
- 如果平均脈搏是 80,卡路里消耗是 240
- 如果平均脈搏是 90,卡路里消耗是 260
- 如果平均脈搏是 100,卡路里消耗是 280
有一個規律。如果平均脈搏增加 10,卡路里消耗增加 20。