選單
×
×
正確!
練習
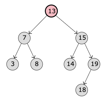
在刪除下方二叉搜尋樹中的節點 13 時
我們首先需要找到該節點的有序 @(11)。
我們首先需要找到該節點的有序後繼節點。
我們首先需要找到該節點的有序前驅節點。
我們首先需要找到該節點的有序後繼節點。
不正確
點選這裡
重新嘗試。
正確!
下一個 ❯
顯示答案
隱藏答案
提交答案 ❯
顯示答案
隱藏答案
前往 w3schools.com
重置分數
關閉此選單
DSA 入門
練習 1
練習 2
練習 3
轉到 DSA 入門教程
DSA 陣列
練習 1
轉到 DSA 陣列教程
DSA 氣泡排序
練習 1
轉到 DSA 氣泡排序教程
DSA 選擇排序
練習 1
轉到 DSA 選擇排序教程
DSA 快速排序
練習 1
轉到 DSA 快速排序教程
DSA 計數排序
練習 1
轉到 DSA 計數排序教程
DSA 基數排序
練習 1
轉到 DSA 基數排序教程
DSA 線性搜尋
練習 1
練習 2
轉到 DSA 線性搜尋教程
DSA 二分搜尋
練習 1
轉到 DSA 二分搜尋教程
DSA 連結串列
練習 1
練習 2
練習 3
練習 4
練習 5
練習 6
練習 7
前往 DSA 連結串列教程
DSA 棧
練習 1
練習 2
練習 3
轉到 DSA 棧教程
DSA 佇列
練習 1
練習 2
轉到 DSA 佇列教程
DSA 樹
練習 1
轉到 DSA 樹教程
DSA 二叉樹
練習 1
練習 2
轉到 DSA 二叉樹教程
DSA 二叉搜尋樹
練習 1
練習 2
練習 3
前往 DSA 二叉搜尋樹教程
DSA AVL 樹
練習 1
轉到 DSA AVL 樹教程
DSA 圖
練習 1
練習 2
練習 3
轉到 DSA 圖教程
DSA 迴圈檢測
練習 1
練習 2
練習 3
轉到 DSA 迴圈檢測教程
DSA Dijkstra
練習 1
前往 DSA Dijkstra 教程
DSA Bellman-Ford
練習 1
練習 2
練習 3
練習 4
練習 5
轉到 DSA Bellman-Ford 教程
×
重置分數?
這將重置所有 43 項練習的分數。
您確定要繼續嗎?
重置
取消
×
恭喜!
您已完成全部 43 項 DSA 練習。
分享您的分數
Close